免疫性血小板减少症(ITP)是一种获得性自身免疫性疾病,以血小板计数降低和出血风险增高为特征。对于一线治疗(如糖皮质激素)反应不佳或复发的患者,重组人血小板生成素(rhTPO)和血小板生成素受体激动剂(TPO-RAs)如艾曲泊帕等是重要的二线治疗选择。然而,不同促血小板生成药物的起效速度、疗效和安全性存在差异,如何为患者选择更优方案是临床面临的重要挑战。
昆医大附二院周泽平教授团队2023年首先在国际上报道了增加rhTPO剂量至30000U/天可以提高ITP患者每周血小板水平上升的程度,在慢性ITP患者中存在统计学差异,研究结果发表在血液学期刊《Platelets》上。
2025年8月21日,中国医学科学院血液学研究所张磊教授团队联合昆医大附二院周泽平教授团队等国内12家中心在《eClinicalMedicine》(柳叶刀子刊,IF=10.0,中国科学院1区)在线发表题为“Dose-optimised recombinant human thrombopoietin versus eltrombopag in patients with immune thrombocytopenia:a multicenter,randomised controlled trial(The TE-ITP Study)”的研究论文(共一)。该研究首次比较了剂量优化的rhTPO方案与标准剂量艾曲泊帕在ITP患者中的疗效和安全性,并明确了rhTPO的个体化治疗优势。

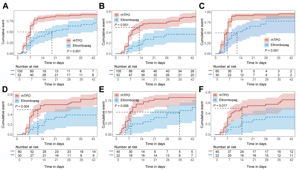
该研究是一项由国内12家中心开展的开放、随机标签、阳性药物对照临床试验。研究共纳入157例成人ITP患者,按2:1随机分配至rhTPO组(105例)或艾曲泊帕组(52例)。rhTPO组和艾曲泊帕组每周根据血小板计数调整剂量,最高剂量分别为600 U/kg/天和75 mg/天。研究包括6周治疗期和20周随访期,主要终点为血小板计数首次达到≥50×10⁹/L所需的时间。

研究结果显示rhTPO组患者的中位起效时间显著短于艾曲泊帕组。在治疗6周内,至少一次血小板计数≥50×10^9/L的患者比例rhTPO组显著高于艾曲泊帕组(96.2% vs 65.4%,p<0.001)。在不同亚组中,rhTPO组均较艾曲泊帕组表现出更快的起效优势。无论是总体反应率还是完全反应率,rhTPO组在各时间点(第1、2、4、6周)均显著优于艾曲泊帕组。在出血风险方面,两组患者的出血比例均有所下降,但与艾曲泊帕组相比,rhTPO组患者出血的风险降低了47.7%,而且出血风险更早缓解。
安全性方面,rhTPO组的不良事件发生率显著低于艾曲泊帕组(45.7% vs. 60.8%),绝大多数不良反应为1-2级。rhTPO组在肝脏安全性方面优势明显。两组血栓事件发生率均较低(1.0% vs. 2.0%),未发生4级及以上不良事件。

该研究首次证实,通过剂量优化策略,rhTPO可显著缩短ITP患者的血小板提升时间,同时降低出血风险,为临床提供了新的个体化治疗选择。这一发现将可能改写ITP二线治疗的临床实践,尤其适用于出血风险高、需快速升板的ITP患者。
中国医学科学院血液病医院(中国医学科学院血液学研究所)张磊主任医师为通讯作者,昆明医科大学第二附属医院周泽平教授为共同第一作者。
文图:血液内科